Example 1: Find out the state feedback gain matrix K for the following system using two different methods such that the closed loop poles are located at 0.5 , 0.6 and 0.7.
Solution:

The above matrix has rank 3, so the system is controllable.
Open loop characteristic equation:
or, |
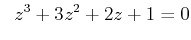
Desired characteristic equation:
Since the open loop system is already in controllable canonical form, T =1.
where,
and
. Thus
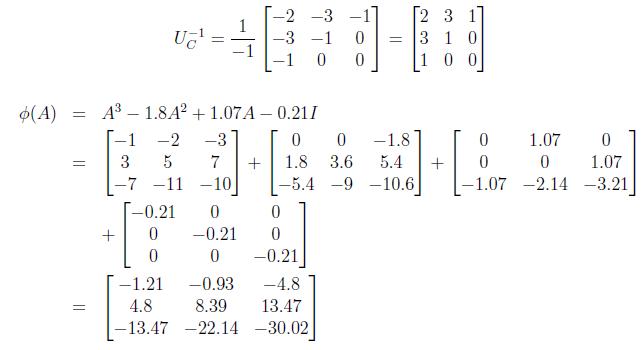
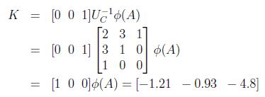
Using Ackermann's formula:
Thus