Module 9 : State Feedback Control Design

Lecture 1 : State Feedback Controller

1.1 Designing K bY thansforming the state model into controllable from

The problem is first solved for the controllable canonical form. Let us denote the controllability matrix by UC and consider a transformation matrix T as

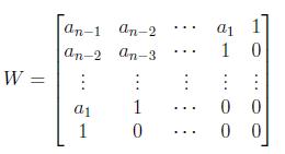
$\displaystyle T=U_C W$

where $\displaystyle W = \begin{bmatrix}a_{n-1} & a_{n-2} &\cdots & a_1 & 1 \\ a_{n-2}...  ...  \vdots \\ a_{1} & 1 &\cdots & 0 & 0 \\ 1 & 0 & \cdots & 0 &  0 \end{bmatrix} $

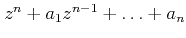
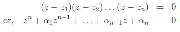
$ a_i$'s are the coefficients of the characteristic polynomial

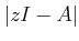
$ \vert zI - A\vert = z^n + a_1 z^{n-1} + \cdots +  a_{n-1} z + a_n$.

Define a new state vector $ \mathbf{{x}}=T\mathbf{\bar x}$. This will transform the system given by (1) into controllable canonical form, as

$\displaystyle \mathbf{\bar{x}}(k+1)=\bar{A}\mathbf{\bar{x}}(k)+\bar{B}u(k)$
(3)


You should verify that

$\displaystyle \bar{A}=T^{-1}AT= \begin{bmatrix}0 & 1 & 0 & \ldots &0 \\ 0 & 0 &...  ...0 & \ldots & 1 \\ - a_n & -a_{n-1} & -a_{n-2} & \ldots &  -a_1 \end{bmatrix} \;$


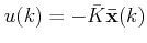
We first find $ \bar{K}$ such that $ u(k)=-\bar{K}\mathbf{\bar{x}}(k)$ places poles in desired locations. Since eigenvalues remain unaffected under similarity transformation, $ u(k)=-\bar{K}T^{-1}\mathbf{{x}}(k)$ will also place the poles of the original system in desired locations.

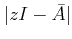
If poles are placed at $ z_1,z_2,....,z_n$, the desired characteristic equation can be expressed as:

(4)


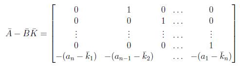
Since the pair $ \bar{A},\bar{B}$ are in controllable-companion form then, we have

$\displaystyle \bar{A}-\bar{B}\bar{K}=\begin{bmatrix}  0 & 1 & 0 &\ldots & 0 \\ ...  ... -(a_n-\bar{k}_1)&-(a_{n-1}-\bar{k}_2)& &\ldots&-(a_1-\bar{k}_n)  \end{bmatrix}$

Please note that the characteristic equation of both original and canonical form is expressed as: $ \vert zI-A\vert$= $ \vert zI-\bar{A}\vert$= $ z^n+a_1 z^{n-1}+\ldots+a_n$= 0.

The characteristic equation of the closed loop system with $ u=-\bar{K}\mathbf{\bar{x}}$ is given as:

$\displaystyle z^n+(a_1+\bar{k}_n)z^{n-1}+(a_2+\bar{k}_{n-1})z^{n-2}+\ldots+(a_n+\bar{k}_1)=0$
(5)

Comparing Eqs. (4) and (5), we get

$\displaystyle \bar{k}_n=\alpha_1-a_1,\;\bar{k}_{n-1}=\alpha_2-a_2,\;\bar{k}_1=\alpha_n-a_n$
(6)


We need to compute the transformation matrix T to find the actual gain matrix

$ K=\bar{K}T^{-1}$ where $ \bar{K}=[\bar{k}_1,\bar{k}_2,\ldots,\bar{k}_n]$.