Module 9 : State Feedback Control Design

Lecture 1 : State Feedback Controller

1.2 Designing K by Axkermann's Formula

Consider the state-space model of a SISO system given by equation (1). The control input is

$\displaystyle u(k)=-K\mathbf{x}(k)$
(7)

Thus the closed loop system will be

$\displaystyle \mathbf{x}(k+1)=(A-BK)\mathbf{x}(k) = \hat A \mathbf{x}(k)$
(8)


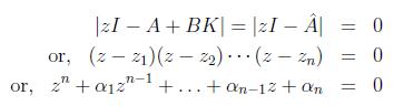
Desired characteristic Equation:



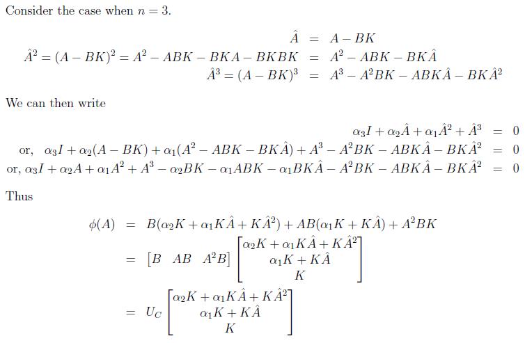
Using Cayley-Hamilton Theorem $\displaystyle \hat A^n+\alpha_1\hat A^{n-1}+\ldots+\alpha_{n-1} \hat A+\alpha_n I = 0 $


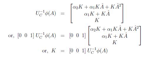
where $ \phi(.)$ is the closed loop characteristic polynomial and UC is the controllability matrix. Since UC is nonsingular



Extending the above for any n,

$\displaystyle K = [0 \;\; 0 \;\; \ldots \;\; 1] \; U_C^{-1} \phi(A) \;\;\;\;\;\;\;\;$ where $\displaystyle \;\; U_C = [B \;\; AB \;\; A^2B \;\; \ldots \;\; A^{n-1} B ] $

The above equation is popularly known as Ackermann's formula.