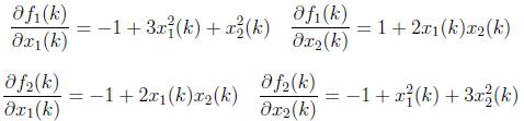
Linearize the system about origin which is an equilibrium point.
Evaluating the coefficients of Eqn. (3), we get
Thus
. Hence, the linearized system around origin is given by
![]() |
(9) |
Sign definiteness of functions and matrices
Positive Definite Function: A continuously differentiable function
is said to be positive definite in a region
that contains the origin if
If the condition (2) becomes f (x) < 0 , the function is negative definite and if it becomes f (x) ≤ 0 it is negative semi-definite.
Example: Is the function
positive definite?
Answer: f (0,0) = 0 shows that the first condition is satisfied. f (x1,x2) > 0 for x1,x2 ≠ 0.
Second condition is also satisfied. Hence the function is positive definite.
A square matrix P is symmetric if P = PT. A scalar function has a quadratic form if it can be written as xT Px where P = PT and x is any real vector of dimension
.
Positive Definite Matrix: A real symmetric matrix P is positive definite, i.e. P > 0 if
1. xTPx > 0 for every non-zero x.
2. xTPx = 0 only if x= 0.
A real symmetric matrix P is positive semi-definite, i.e.P ≥ 0 if xTPx ≥ 0 for every non-zero x. This implies that xTPx = 0 for some x ≠ 0 .
Theorem: A symmetric square matrix P is positive definite if and only if any one of the following conditions holds.
Every eigenvalue of P is positive.
All the leading principal minors of P are positive.
There exists an
non-singular matrix Q such that P = Q T Q .
Similarly, a matrix P is said to be negative definite if -P is positive definite. When none of these two conditions satisfies, the definiteness of the matrix cannot be calculated or in other words it is said to be sign indefinite.
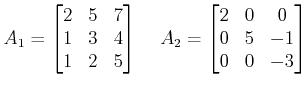
Example: Consider the following third order matrices. Determine the sign definiteness of them.
The leading principal minors of the matrix A1 are 2, 1 and 2, hence the matrix is positive definite.
The eigenvalues of the matrix A2 can be straightaway computed as 2, 5 and -3, i.e., all the eigenvalues are not positive. Again, the eigenvalues of the matrix -A2 are -2, -5 and 3 and hence the matrix A2 is sign indefinite.
