Module 5 : Design of Sampled Data Control Systems

Lecture 8 : Lag-lead Compensator


At $ 10$ rad/sec, the magnitude is $ 14.2$ dB. To make this as the actual gain crossover frequency, lag part should provide an attenuation of $ -14.2$ dB at high frequencies.

Thus,

$\displaystyle 20 \log_{10} \alpha_1 = 14.2 $


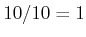
which gives $ \alpha_1=5.11$. Now, $ 1/\tau_1$ should be placed much below the new gain crossover frequency to retain the desired PM. Let $ 1/\tau_1$ be $ 10/10=1$. Thus

$\displaystyle \tau_1= 1 $

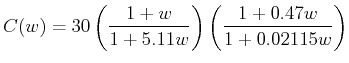
The overall compensator is

$\displaystyle C(w) = 30 \left (\frac{1+w}{1+5.11 w} \right ) \left (\frac{1+0.47
w}{1+0.02115 w} \right )$

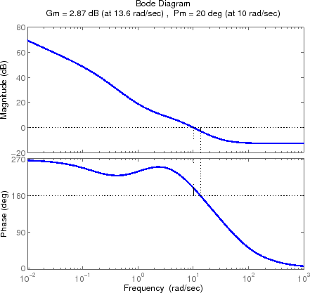
The frequency response of the system after introducing the above compensator is shown in Figure 7, which shows that the desired performance criteria are met.

Figure 7: Frequency response of the system in Example 2 with a lag-lead compensator
\includegraphics[width=4.5in]{m5l8fig7.eps}
$ $

Re-converting the controller in z-domain, we get

$\displaystyle C(z)=30 \left (\frac{0.2035 z - 0.1841}{z - 0.9806} \right ) \left (\frac{7.309 z - 5.903}{z + 0.4055} \right )$