Module 5 : Design of Sampled Data Control Systems

Lecture 8 : Lag-lead Compensator

Since the velocity error constant criterion will produce the same controller dcgain $ K$, the gain of the lag-lead compensator is designed to be $ 30$.

The Bode plot of the uncompensated system with $ K=30$ is shown in Figure 5.

Figure 5: Bode plot of the uncompensated system for Example 2
\includegraphics[width=4.5in]{m5l8fig5.eps}

From Figure 5, it is seen that at $ 10$ rad/sec the phase angle of the system is $ 139=-221^o$.

Thus a huge phase lead ($ 86^o$) is required if we want to acieve a PM of $ 45^o$ which is not possible with a single lead compensator. Let us lower the PM requirement to a minimum of $ 20^o$ at $ \omega_g=10$ rad/sec.

Since the new $ \omega_g$ should be $ 10$ rad/sec, the required additional phase at $ \omega_g$, to maintain the specified PM, is $ 20-(180-221)=61^o$. With safety margin $ 5^o$,

$\displaystyle \alpha_2 = \left( {\frac{{1 - \sin (66^o )}}{{1 + \sin (66^o )}}}
\right) = 0.045
$

And

$\displaystyle 10 = \frac{1}{{\tau_2 \sqrt \alpha_2 }}
$

which gives $ \tau_2=0.47$. However, introducing this compensator will actually increase the gain crossover frequency where the phase characteristic will be different than the designed one. This can be seen from Figure 6.
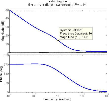
Figure 6: Frequency response of the system in Example 2 with only a lead compensator
\includegraphics[width=4.5in]{m5l8fig6.eps}

Also, as seen from Figure 6, the GM of the system is negative. Thus we need a lag compensator to lower the magnitude at $ 10$ rad/sec.