Since the new ωg should be 10 rad/sec, the required additional phase at ωg, to maintain the specified PM, is 45 - (180 - 198) = 63° . With safety margin 2°,

And
which gives
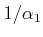
. However, introducing this compensator will actually increase the gain crossover frequency where the phase characteristic will be different than the designed one. This can be seen from Figure 3.
![]() |
Figure 3: Frequency response of the system in Example 1 with only a lead compensator
The gain crossover frequency is increased to 23.2 rad/sec. At 10 rad/sec, the phase angle is -134° and gain is 12.6 dB. To make this as the actual gain crossover frequency, lag part should provide an attenuation of -12.6 dB at high frequencies.
At high frequencies the magnitude of the lag compensator part is
. Thus ,
![]()
which gives
. Now,
should be placed much below the new gain crossover frequency to retain the desired PM. Let
be 0.25. Thus
![]()
The overall compensator is

![\includegraphics[width=5.0in]{m5l8fig3.eps}](images/img31.png)