The frequency response of the system after introducing the above compensator is shown in Figure 4, which shows that the desired performance criteria are met.
![]() |
Figure 4: Frequency response of the system in Example 1 with a lag-lead compensator
Example 2:
Now let us consider that the system as described in the previous
example is subject to a sampled data control system with sampling time
sec. We would use MATLAB to derive the plant transfer function
-plane.
Use the below commands.
>> s=tf('s');
>> gc=1/(s*(1+0.1*s)*(1+0.2*s));
>> gz=c2d(gc,0.1,'zoh');
You would get
![]() |
The bi-linear transformation
will transfer
>> aug=[0.1,1]; >> gwss = bilin(ss(gz),-1,'S_Tust',aug) >> gw=tf(gwss)
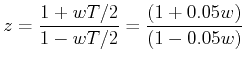
to find out the transfer function in
![]() |
![\includegraphics[width=5.0in]{m5l8fig4.eps}](images/img43.png)

