Example 2:
Now let us consider that the system as described in the previous example is subject to a sampled data control system with sampling time T = 0.2 sec. Thus
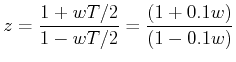
The bi-linear transformation
will transfer
into w -plane, as
[please try the simplification]
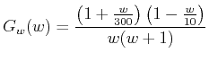
We need first design a phase lead compensator so that PM of the compensated system is at least 50° with Kv = 2 . The compensator in w -plane is

Design steps are as follows.
- • K has to be found out from the Kv requirement.
• Make ωmax = ωgnew.
• Compute the gain crossover frequency ωg and phase margin of the uncompensated system after introducing K in the system.
• At ωg check the additional/required phase lead, add safety margin, find out . Calculate α from the required
• Since the lead part of the compensator provides a gain of
, find out the frequency where the logarithmic magnitude is
. This will be the new gain crossover frequency where the maximum phase lead should occur.
• Calculate τ from the relation