Module 8 : Appendix

Controllability, Observability and Stability of Discrete Time Systems

 

 

Problem 3: Determine the stability of the DTS whose state equation is given as

 

 

Problem 4: Find out the equilibrium points of the following nonlinear system

 

Lecture Note 3

Exercise Problems:

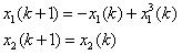
Problem:1 Consider a non-linear system

 

Linearize the system about origin which is an equilibrium point.

Problem:2 Is the following function positive definite ?

 

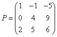
Problem:3 Is the following matrix positive definite?

 

Problem:4 Consider the following matrices of order 3 and determine the sign definiteness of them.

 

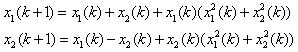
Problem 5:

 

Investigate the stability of the system using Lyapunov method.

 

Investigate the stability of the system using the Lyapunov method.