Module 8 : Appendix

Controllability, Observability and Stability of Discrete Time Systems

 

 

 

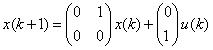
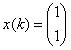
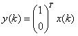
Example 3: Consider the discrete time system with state and output equation is given by

 

Determine the observability of the above system.

Solution:

We have to determine the observablity matrix if its rank is full then this system is totally observable. On comparison with standard equation we get

 

So &

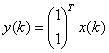
Whereas observability matrix is given by

Here k=2

;

 

So its rank is 2. That is why this system is observable.

Exercise Problems:

 

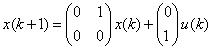
Problem 1: Consider the system

 

Find Controllability matrix. Does the system approach to controllability?

 

Problem 2: Consider the system and determine its reachability. Also its reachability can be altered when .

 

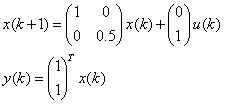
Problem 3: Consider the system

Determine the observability matrix and test whether the system is observable or not.