Module 8 : Appendix

Controllability, Observability and Stability of Discrete Time Systems

 

 

Problem 4: If F & G are not in controllable canonical form then how would be the controllability would be detected? Just elaborate it.

 

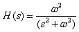
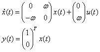
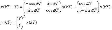
Problem 5: The state space equations of a harmonic oscillator transfer function

 

Investigate the controllability and observability of the sampled-data(discrete-time) system whose states are sampled with a sampling period T.

 

Lecture Note 2

Additional Notes

 

Example:1 Consider the system

 

Examine the stability of the system according to BIBO stability of the system.

Solution:

For the illustration of BIBO stability of the system, firstly we would excite the system with a square waveform of frequency ω.

If we plot the input and output waveforms of the systems, when ω=1 and T=0.5, we could observe that the output amplitude increases with time.

Although the system accepts a bounded amplitude signal at its input, it produces an unbounded amplitude signal at its output. Therefore, the system is not BIBO stable.

 

 

Exercise Problems:

 

Problem 1: Investigate the stability of a discrete-time system when characteristic polynomial is given by:

(a)

(b)

(c)

 

Problem 2 Consider the system

Examine the stability of the system according to BIBO stability of the system.