Module 8 : Appendix

Controllability, Observability and Stability of Discrete Time Systems

 

 

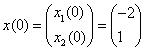
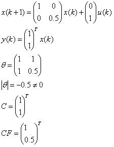
Example 2: Consider the system

 

With the initial conditions of .Test whether the system is reachable or not?

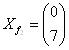
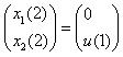
a. Find ?

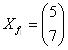
b. Find ?

Solution.

From the given state equation we can generalize the results as

 

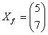
Finally we are getting = Xf so only option (b) is satisfying the reachability criterion and is failed to prove this so never be achieved but is achieved.

 

2. Obseravability:

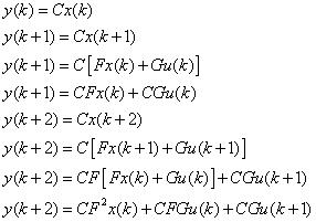
In simple words if there is a direct linkage between the stable state variables and output of the system then the system is observable. The observability of the discrete time system is given by following expression.

As we know that the output equation is given by y(k) so the below expressions shows the relationship and finally we get the observability matrix.

where