Module 8 : Appendix

Controllability, Observability and Stability of Discrete Time Systems

 

 

Solution :

On comparison with standard equation we get

 

F =

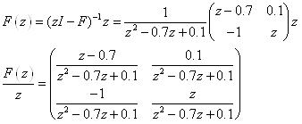
State transition matrix is given by

 

Because when

Hence, this system is controllable.

 

If a system is reachable then it must be controllable but if it is controllable then it is not definitely true that it would be reachable, for its illustration we have to determine the state transition matrix and controllability matrix which prove the system properties. In short final desired outputs (dependent on state) can be achieved or not.