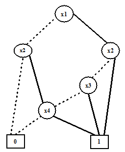
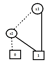
Let is consider another function f1 = x1x2 + x1x3 + x1x4 + x2x4 ; the OBDD for f1 is shown in Figure 13. OBDD for restrict(0,x4, Bf) and restrict(1,x4,Bf)) is shown in Figure 14.

Figure 13. ROBDD for f1 = x1x2 + x1x3 + x1x4 + x2x4

Figure 14. ROBDD for restrict(0,x4, Bf) and restrict(1,x4,Bf)
The OBDD for ∃x4.f1(apply(+,restrict(0,x4, Bf) and restrict(1, x4, Bf)) is shown in Figure 15.

......................................................................Figure 15. OBDD for ∃x4.f1
The OBDD for ∃x3.x4.f1 is also the same, because ∃.x4.f1 is independent of x3 . The exists operation can be easily generalized to a sequence of exists operations ∃x1.∃x2.................∃xn.f..
The Boolean quantifier ∀ is the dual of ∃,∀xf = f[0/x].f[1/x] .
3. Conclusions
In the lectures covered in this module till now we discussed ROBDDs with respect to Boolean functions. We know that Boolean functions can be directly represented using combinational digital circuits. So ROBDDs can be used for verification of combinational circuits. However most of the practical circuits are sequential ones. In the next lecture we will discuss ROBDDs for sequential circuits.