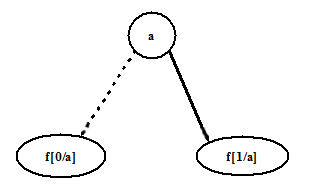
Diagrammatically, a BDD of a function of variable a is rooted at a node representing variable a , and its children represent the two sub-functions whose sum results in the original expression. The child of the root with dotted line from parent represents f[0/a] and the one with solid line from parent represents f[1/a] . BDD of a function of variable a is shown in Figure 12.

Figure 12. BDD of a function of variable a
or instance, for the above considered example (i.e.,f(a)=ac+bc+ab) the initial diagram would be of the form shown in Figure 13.

Figure 13. Initial diagram of the function f(a)=ac+bc+ab)
Further expansion of the sub-functions would lead to the following expressions, which are to be found out till we find the leaf node of the diagram (that is binary 0 or 1):

Now the diagram for the expression f(a) = ac+bc+ab is shown in Figure 14. The diagram obtained using Shannon Expansion can further be reduced using the reduction rules explained earlier. The third rule “Removal of duplicate terminals” is applied and the final RBDD for the expression is shown in Figure 15. For the above case, no more reduction is possible.

Figure 14. Diagram of the function f(a) = ac+bc+ab with redundant nodes

Figure 15. Final diagram (RBDD) of the function f(a) = ac+bc+ab