Now it may argued that in the absence of a molecular ion peak it will be pain stakingly difficult to determine a particular mass is generated from the original molecule. Fortunately, however, molecules do show pattern in fragmentation depending on the stability of the fragments generated. Some common fragmentation patterns are given below.
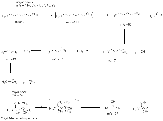
Analysis of Hydrocarbons : In molecules containing long saturated hydrocarbon chains, the corresponding molecular ion peak is observed along with peaks generated by loss of CH2 groups i.e., M-14, M-28 and so on. With the increase in branching, however, the intensity of the molecular ion peak (M) decreases and instead that of a stabilized fragment becomes more visible. This can be understood from the comparison of mass spectrum of n-octane and 2,2,4-trimethylpentane (isooctane). In the former compound a peak corresponding to m/z = 43 is the base peak with m/z = 114 the molecular ion peak also visible whereas, in the later a peak corresponding to m/z = 57 is the base peak with no peak at m/z = 114.
Analysis of Alkenes : In alkenes the molecular ion peak is usually distinct. Location of the double bond is however difficult in acyclic alkenes due to migration of the double bond. In cyclic alkenes, it may be possible to locate the double bond due to its strong tendency for allylic cleavage without much migration. Thus in the mass spectrum of β-myrcene, a molecular peak appears at 136 along with major peaks at 93 (base peak), 69, 55 and 41 (base peak) are observed.