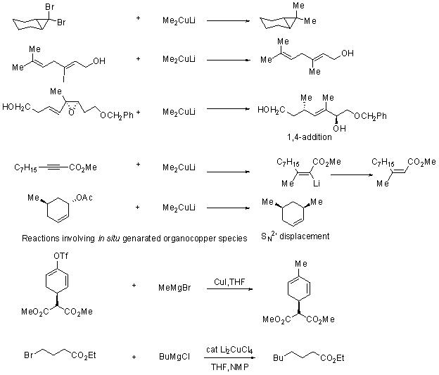
Higher order cuprates react with α,β-unsaturated carbonyl compounds as Gilman reagent to afford the addition product in excellent yield (Scheme 14).
Scheme 14 |
Examples:
Module 3 : Organometallic Reagents
Lecture 23 : Organocopper Reagents
Higher order cuprates react with α,β-unsaturated carbonyl compounds as Gilman reagent to afford the addition product in excellent yield (Scheme 14).
Scheme 14 |
Examples: