Module 3 : Organometallic Reagents

Lecture 23 : Organocopper Reagents

 

·       

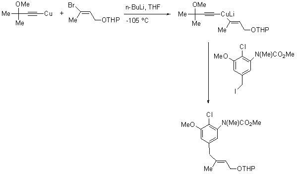
results are obtained from the reactions of aryl halides and organocuprates (Scheme 4).

Scheme 4


Examples:


M. Bogenstatter, A. Lmberg, L. E. Overman, A. L. Tomasi, J. Am. Chem. Soc. 1999, 121, 12206.

E. J. Corey, H. F. Wetter, A. P. Kozikowski, A. V. R. Rao, Tetrahedron Lett. 1977, 777.