Problems
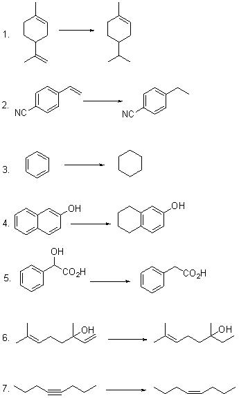
Provide suitable reagents/catalysts for the following transformations.
Text Book
M. B. Smith, Organic Synthesis, 2nd Ed., McGraw Hill, New York, 2004.
Module 2 : Reduction Reactions
Lecture 17 : Problems
Problems
Provide suitable reagents/catalysts for the following transformations.
Text Book
M. B. Smith, Organic Synthesis, 2nd Ed., McGraw Hill, New York, 2004.