Module 11 : Transition Metal Catalysis

Lecture 28: Titanium Catalysts

Chiral titanium-polymer complex has been used as recyclable catalyst for cyanohydrins synthesis with high enantioselectivity (Scheme 10). The advantage of this protocol, the catalyst can be recovered and recycled without loss of activity and selectivity.


Scheme 10

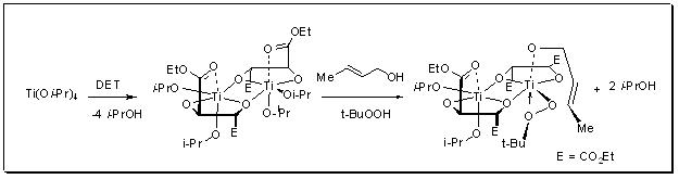
Sharpless asymmetric epoxidation is one of the most famous examples of an asymmetric reaction using titanium alkoxides. In this method, prochiral allylic alcohols are stereoselectively oxidized to the corresponding epoxides using Ti(O i -Pr)4 , t -BuOOH and (R,R) or (S,S)-diethyltartarate (Scheme 11).

 

Scheme 11

Scheme 12