Module 11 : Transition Metal Catalysis

Lecture 28: Titanium Catalysts

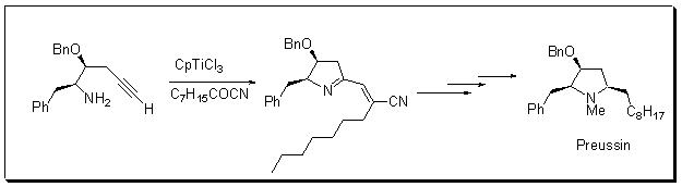
Regioselective intramolecular amination of alkynes has been accomplished using CpTiCl3 which is key step for the total synthesis of the antifungal agent (+)-preussin (Scheme 2).

Scheme 2

3.6.1.2 Olefination

Titanium metallocenes alone do not serve much to the organic synthesis but when they are used in conjunction with trimethyl aluminium they form interesting reagents for the synthesis of terminal alkenes from carbonyl compounds. Tebbe's reagent having the formula (η5 -C5 H5 )2 Ti CH2 ClAlMe2 perform the same task as Wittig's reagent but the higher reactivity of Tebbe's reagent allows even less reactive carbonyl compounds to be transformed to the corresponding methylene compounds. It is prepared by the reaction of titanocene dichloride with trimethyl aluminium in toluene (Scheme 3).


Scheme 3

Tebbe's reagent as shown above is not the active reagent. The active reagent, a Schrock carbene, is formed by treating it with a mild Lewis base like pyridine. This then reacts with the carbonyl group in a [2+2] cyclization which then undergoes ring opening metathesis to form the alkene (Scheme 4).

Scheme 4