Module 4 : Design of Dryers

Lecture 4 : Solved Problems

 

 

Preheating period:

qp = 23705 x 0.2871(180-176) + 1250 (180-176) = 3.2274 × 104 Btu/hr

Change in air temp. is = [(3.2274 × 104 )/(1.27 × 106 )] × (313 - 176) = 2.67°F

Air temperature at the end of preheat = 209 + 2.64 = 212°F

 

Heating period:

qs = 23705 × 0.2871 (261-180) + 24 (261-180) = 5.542 x 105 Btu/hr

Air temperature at the start of heating = 313 – 45.38 = 267°F

Evaporating period:

qp = 1.27 x 106 – 5.542 x 105 – 3.2274 x 104 = 6.83 x 105 Btu/hr

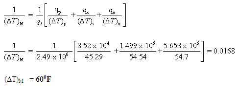
The mean temperature difference given as