Effect of internal mass transport on selectivity
Selectivity of a product can be defined as ratio of global rates for formation of different products at that point. Combined effect of external and internal diffusion resistances on selectivity at isothermal conditions are discussed below.
1. Independent and parallel irreversible first order reactions
![]() |
B desired product |
It is further assumed that:
- 1.

2. Isothermal conditions
3. Both external and internal diffusion resistances affect the rate.
At steady state, rate for catalyst pellet can be written as
|
(6) |
The rate for catalyst pellet can also be written as |
(7) |
Eliminating surface concentration Cs between equations (6) and (7)

Thus external effect can be treated as a separate additive resistance. The reduction in rate due to internal diffusion resistance through η is combined with rate constant k for chemical steps.
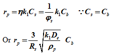
If there is only internal mass transfer resistance then Cs = Cb
Say ![]()

Then selectivity of B is given as


