Significance of intrapellet diffusion
P.B. Weis has developed a criterion for detecting whether intrapellet diffusion may be neglected. The basic assumption is that if
, then
.
When ![]()
Or 
Simplifying and squaring, 
Now
, where rp is the measured rate and
.
Substituting k1 ,
. This is known as the Weisz Criteria.
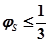
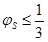
This criterion can be approximately used for most catalytic kinetics though it is derived for a 1st order reaction. Hence, if criterion
, is fulfilled then
and there is no intrapellet diffusion limitation.