Module 2 : Heterogeneous catalysis

Lecture 24 : Effect of transport process-part 3

 

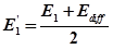
Here are apparent frequency factors and apparent activation energy, respectively. Then comparing (1) and (2)

(3)

Thus apparent activation energy is actually half of true activation energy. When internal mass transfer resistance is not considered than the activation energy obtained will be half of the actual value. These conclusions are same for all reaction orders.

However it should be kept in mind that relation ( 3) is true only at isothermal condition and effective diffusivity is constant. If temperature varies then effective diffusivity changes and for large the apparent activation energy is given as . Under this condition, if the activation energy for diffusion (Ediff) is much less than the activation energy of the reaction, then only . In the plot of ln k vs 1/T, at low temperature the data would give a line with slope equal to –E/R as . At high temperature intrapellet diffusion is important and line with slope –E/2R will be obtained.

Equation 3 shows that rate rp is inversely proportional to pellet size Rs. If intrapellet diffusion is insignificant, the rate is independent of pellet size.