Module 5: SIGNAL TRANSDUCTION

Lecture 1: Cell Signalling

Signal Transduction:

Signal transduction is phenomenon which involves in the transfer of signal from extracellular to intracellular environment through the cell surface receptor protein that stimulate intracellular target enzymes, which may be either directly linked or indirectly coupled to receptors by G proteins. These intracellular enzymes serve as downstream signalling elements that propagate and amplify the signal initiated by ligand binding. Thus, signal transduction pathway allows cells to respond to extracellular environmental signals. These signals can be physical and chemical such as light, oxygen, nutrient, hormones. Figure 3 represents the signal transduction pathway.

Signal transduction is the combination of following phenomenon:

  1. Signal reception
  2. Integration
  3. Amplification
  4. A target that is affected
  5. Termination

Figure 3: Representation of Signal Transduction pathway

 

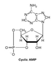
Thus signal transduction begins with receiving signal to the cell receptor and end with a change in cellular function. The cell receptor can be of various types- G-protein coupled receptor, tyrosin kinase receptor etc. The transduction process is typically mediated via a cascade of some important second messengers including cAMP, cGMP, calcium ion, inositol 1, 4, 5-trisphosphate, (IP 3), and diacylglycerol (DAG). Second messengers are intracellular molecules that change in concentration in response to environmental signals and involve in conveying information inside the cell.

Figure 4: Common second messengers