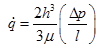
If
represents the pressure-drop between two points at a distance l along x- direction, then Eq. (5.2.14) is expressed as,
(5.2.15) |
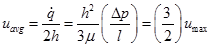
The average velocity
can be calculated as follows;
(5.2.16) |
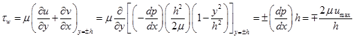
The wall shear stress for this case can also be obtained from the definition of Newtonian fluid;
![]() |
(5.2.17) |
The following silent features may be obtained from the analysis of Couette and Poiseuille flows;
- • The Couette flow is induced by the relative motion between two parallel plates while the Poiseuille flow is a pressure driven flow.
• Both are planner flows and there is a non-zero velocity along x- direction while no velocity in y and z directions.
• The solutions for the both the flows are the exact solutions of Navier-Stokes equation.
• The velocity profile is linear for Couette flow with zero velocity at the lower plate with maximum velocity near to the upper plate.
• The velocity profile is parabolic for Poiseuille flow with zero velocity at the top and bottom plate with maximum velocity in the central line.
• In a Poiseuille flow, the volume flow rate is directly proportional to the pressure gradient and inversely related with the fluid viscosity.
• In a Poiseuille flow, the volume flow rate depends strongly on the cube of gap width.
• In a Poiseuille flow, the maximum velocity is 1.5-times the average velocity.
