A typical application of Couette flow is found in the journal bearing where the main crankshaft rotates with an angular velocity
and the outer one (i.e. housing) is a stationary member (Fig. 5.2.3). The gap width
is very small and contains lubrication oil.

Fig. 5.2.3: Flow in a narrow gap of a journal bearing.
Since,
, the velocity profile can be obtained from Eq. (5.2.5). The shearing stress resisting the rotation of the shaft can be simply calculated using Eq. (5.2.6).
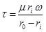
(5.2.7) |
However, when the bearing is loaded (i.e. force is applied to the axis of rotation), the shaft will no longer remain concentric with the housing and the flow will no longer be parallel between the boundaries.
Viscous Incompressible Flow with Pressure Gradient (Poiseuille Flow)
Consider a two-dimensional incompressible, viscous, laminar flow between two parallel plates, separated by certain distance
as shown in Fig. 5.2.4. Here, both the plates are fixed but the pressure varies in x- direction. It is assumed that the plates are very wide and long so that the flow is essentially axial
. Further, the flow is considered far downstream from the entrance so that it can be treated as fully-developed. Using continuity equation, it leads to the same conclusion of Eq. (5.2.1) that
only. Also,
and gravity is neglected, the momentum equations in the respective direction reduces as follows;
![]() |
(5.2.8) |

Fig. 5.2.4: Incompressible viscous flow between parallel plates with pressure gradient.
