In the x- momentum equation, it may be noted that the left hand side contains the variation of
while the right hand side shows the variation of
. It must lead to a same constant otherwise they would not be independent to each other. Since the flow has to overcome the wall shear stress and the pressure must decrease in the direction of flow, the constant must be negative quantity. This type of pressure driven flow is called as Poiseuille flow which is very much common in the hydraulic systems, brakes in automobiles etc. The final form of equation obtained for a pressure gradient flow between two parallel fixed plates is given by,
(5.2.9) |
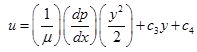
The solution for Eq. (5.2.9) can be obtained by double integration;
![]() |
(5.2.10) |
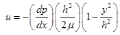
The constants can be found from no-slip condition at each wall:
![]() |
(5.2.11) |
After substitution of the constants, the general solution for Eq. (5.2.9) can be obtained;
![]() |
(5.2.12) |
The flow described by Eq. (5.2.12) forms a Poiseuille parabola of constant curvature and the maximum velocity
occurs at the centerline
:
![]() |
(5.2.13) |
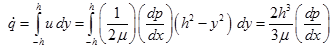
The volume flow rate
passing between the plates (per unit depth) is calculated from the relationship as follows;,
![]() |
(5.2.14) |




