·
Most of the terms in momentum equation drop out and Eq. (5.2.2) reduces to a second order ordinary differential equation. It can be integrated to obtain the solution of u as given below;
(5.2.3) |
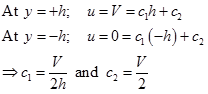
The two constants
can be obtained by applying no-slip condition at the upper and lower plates;
![]() |
(5.2.4) |
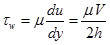
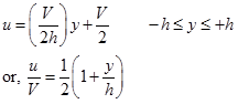
The solution for the flow between parallel plates is given below and plotted in Fig. 5.2.2 for different velocities of the upper plate.
![]() |
(5.2.5) |
It is a classical case where the flow is induced by the relative motion between two parallel plates for a viscous fluid and termed as Coutte flow . Here, the viscosity
of the fluid does not play any role in the velocity profile. The shear stress at the wall
can be found by differentiating Eq. (5.2.5) and using the following basic equation.
(5.2.6) |

Fig. 5.2.2: Couette flow between parallel plates with no pressure gradient.

