Effect of Pressure Gradient on the Boundary Layer
The analysis of viscous flow fields past an external body (such as flat plate) is essentially done by dividing the entire flow domain in two parts; outer inviscid flow and a boundary layer flow which is predominant in the thin region close to the surface of the plate. Depending on the nature of boundary layer (laminar/turbulent), the velocity profile and all other relevant parameters are determined. However, when the outer flow accelerates/decelerates, few interesting phenomena take place within the boundary layer. If the outer inviscid and/or irrotational flow accelerates,
increases and using Euler's equation, it may be shown that
decreases. The boundary layer in such an accelerating flow is formed very close to the wall, usually thin and is not likely to separate. Such a situation is called as favorable pressure gradient
. In the reverse case, when the outer flow decelerates,
decreases and
increases leading to unfavorable/adverse pressure gradient
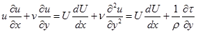
. This condition is not desirable because the boundary layer is usually thicker and does not stick to the wall. So, the flow is more likely to separate from the wall due to excessive momentum loss to counteract the effects of adverse pressures. The separation leads to the flow reversal near the wall and destroys the parabolic nature of the flow field. The boundary layer equations are not valid downstream of a separation point because of the reverse flow in the separation region. Let us explain the phenomena of separation in the mathematical point of view. First recall the boundary layer equation:
(5.11.12) |
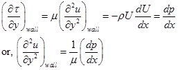
When the separation occurs, the flow is no longer attached to the wall i.e.
. Then, Eq. (5.11.12) is simplified and is valid for either laminar/turbulent flows.
![]() |
(5.11.13) |
From the nature of differential equation (Eq. 5.11.13), it is seen that the second derivative of velocity is positive at the wall in the case of adverse pressure gradient. At the same time, it must be negative at the outer layer
to merge smoothly with the main stream flow
. It follows that the second derivative must pass through zero which is known as the point of inflection (PI) and any boundary layer profile in an adverse gradient situation must exhibit a characteristic S-shape . The effect of pressure gradient on the flat plate boundary layer profile is illustrated below and is shown in Fig. 5.11.3.
