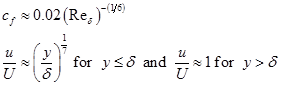
In order to obtain the momentum thickness in Eq. (5.11.1), it is desired to know the velocity profile. Prandtl suggested the power law approximation for skin friction coefficient and one-seventh power law for velocity profile which is considered as very good approximations for flat plates.
![]() |
(5.11.2) |
The approximate turbulent velocity profile shape given by Eq. (5.11.2) leads to the fact that the slope
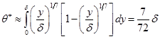
is infinite at the wall which is not meaningful physically. However, the large slope leads to a very high skin friction on the surface of the plate as compared to the laminar flow under similar conditions. With this approximate profile, the momentum thickness can be easily evaluated:
![]() |
(5.11.3) |
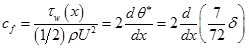
From the definition of skin friction coefficient and using the Eq. (5.11.1), the results are rewritten as below;
![]() |
(5.11.4) |
Substituting Eq. (5.11.4) in Eq. (5.11.2), separating the variables and integrating the resulting expression by assuming
, the following important relation is obtained for boundary layer thickness.
![]() |
(5.11.5) |



