It may be observed that the thickness of a turbulent boundary layer increases as
while it increases as
for a laminar boundary layer. It means that a turbulent boundary layer grows at a faster rate compared to that of a laminar boundary layer. Eq. (5.11.5) is the solution of a turbulent boundary layer because all the boundary layer parameters can be obtained from this equation as given below;
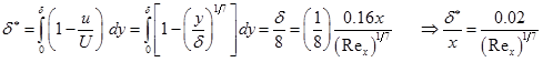
Displacement thickness,
![]() |
(5.11.6) |
Momentum thickness,
![]() |
(5.11.7) |
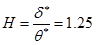
Turbulent shape factor for flat plate
(5.11.8) |
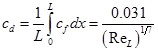
Skin friction coefficient,
![]() |
(5.11.9) |
Wall shear stress,
![]() |
(5.11.10) |
Drag coefficient,
![]() |
(5.11.11) |
These are some basic results of turbulent flat plate theory. The flat plate analysis for a Blasius laminar boundary layer and turbulent boundary layer is summarized in Table 5.11.1.
Table 5.11.1: Comparative analysis of laminar and turbulent boundary layer flow over a flat plate
![]() |





