Stream Function vs Velocity Potential
The velocity potential is analogous to stream function in a sense that the derivatives of both
yield the flow field velocities. However, there are distinct differences between
:
- • The flow field velocities are obtained by differentiating
in the same direction as the velocities, whereas,
is differentiated normal to the velocity direction.
• The velocity potential is defined for irrotational flows only. In contrast, stream function can be used in either rotational or irrotational flows.
• The velocity potential applies to three-dimensional flows, whereas the stream function is defined for two dimensional flows only.
It is seen that the stream lines are defined as lines of constant
which are same as gradient lines and perpendicular to lines of constant
. So, the equipotential lines and stream lines are mutually perpendicular. In order to illustrate the results more clearly, let us consider a two-dimensional, irrotational, incompressible flow in Cartesian coordinates.
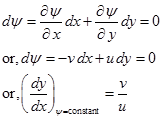
For a streamline,
, and the differential of
is zero.
![]() |
(3.3.22) |
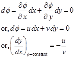
Similarly, for an equipotential line,
, and the differential of
is zero.
![]() |
(3.3.23) |
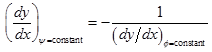
Combining Eqs. (3.3.22) and (3.3.23), we can write,
![]() |
(3.3.24) |
Hence, the streamlines and equipotential lines are mutually perpendicular.


