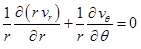
3. In cylindrical coordinates, the continuity equation for a steady, incompressible, plane, two-dimensional flow, reduces to
(3.3.10) |
The respective velocity components
are shown in Fig. 3.3.1-c. The stream function
that satisfies Eq. (3.3.10), can then be defined as,
(3.3.11) |
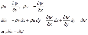
4. In a steady, plane compressible flow, the stream function can be defined by including the density of the fluid. But, the change in the stream function is equal to mass flow rate
.
![]() |
|
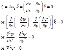
5. One important application in a two-dimensional plane is the inviscid and irroational flow where, there is no velocity gradient and
. Then, the vorticity vector becomes,
![]() |
(3.3.13) |
This is a second order equation and is quite popular in mathematics and is known as Laplace equation in a two-dimensional plane.
Velocity Potential
An irrotational flow is defined as the flow where the vorticity is zero at every point. It gives rise to a scalar function
which is similar and complementary to the stream function
. Let us consider the equations of irrortional flow and scalar function
. In an irrotational flow, there is no vorticity ![]()
(3.3.14) |
Now, take the vector identity of the scalar function
,
(3.3.15) |
i.e. a vector with zero curl must be the gradient of a scalar function or, curl of the gradient of a scalar function is identically zero. Comparing, Eqs. (3.3.14) and (3.3.15), we see that,
(3.3.16) |

