·
The following important points can be noted for stream functions;
1. The lines along which
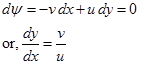
is constant are called as streamlines . In a flow field, the tangent drawn at every point along a streamline shows the direction of velocity (Fig. 3.3.1-b). So, the slope at any point along a streamline is given by,
(3.3.5) |
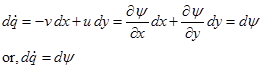
Referring to the Fig. 3.3.2-a, if we move from one point (x, y) to a nearby point
, then the corresponding change in the value of stream function is d
which is given by,
(3.3.6) |
Along a line of constant
,
![]() |
|
The Eq. (3.3.5) is same as that of Eq. (3.3.7). Hence, it is the defining equation for the streamline. Thus, infinite number streamlines can be drawn with constant
. This family of streamlines will be useful in visualizing the flow patterns. It may also be noted that streamlines are always parallel to each other .
2. The numerical constant associated to
, represents the volume rate of flow. Consider two closely spaced streamlines
as shown in Fig. 3.3.2-a. Let
represents the volume rate of flow per unit width perpendicular to x-y plane, passing between the streamlines. At any arbitrary surface AC , this volume flow must be equal to net outflow through surfaces AB and BC . Thus,
![]() |
|
Hence, the volume flow rate
can be determined by integrating Eq. (3.3.8) between streamlines
as follows;
![]() |
(3.3.9) |
So, the change in the value of stream function is equal to volume rate of flow. If the upper streamline
has a value greater than the lower one
, then the volume flow rate is positive i.e. flow takes place from left to right (Fig. 3.3.2-b).


