Basic Equations of Fluid Motion
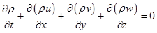
The differential relations for fluid particle can be written for conservation of mass, momentum and energy. In addition, there are two state relations for thermodynamic properties. They can be summarized as;
![]() |
|
Here,
is the viscous-dissipation function, Q is the internal energy and k is the thermal conductivity of the fluid. In general, the density is a variable and all these equations have 5-unknown parameters i.e.
. In an incompressible flow with constant viscosity, the momentum equation can be decoupled from energy equation. Thus, continuity and momentum equations are solved simultaneously for pressure and velocity. However, there are certain flow situations, which can wipe out continuity equation by defining a suitable variable (called as stream function ) and thereby solving the momentum equation with a single variable.
Stream Function
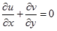
The idea of introducing stream function works only if the continuity equation is reduced to two terms. There are 4-terms in the continuity equation that one can get by expanding the vector equation (3.3.1) i.e.
(3.3.2) |
For a steady, incompressible, plane, two-dimensional flow, this equation reduces to,
(3.3.3) |
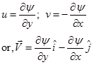
Here, the striking idea of stream function works that will eliminate two velocity components u and v into a single variable (Fig. 3.3.1-a). So, the stream function
relates to the velocity components in such a way that continuity equation (3.3.3) is satisfied.
![]() |
|

Fig. 3.3.1: Velocity components along a streamline.
Fig. 3.3.2: Flow between two streamlines.

