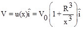
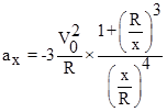
PROBLEM 4: An incompressible, inviscid fluid flows steadily past a ball of radius R. The fluid velocity along the streamline A-B is given by

Where,
is the upstream velocity far ahead of the sphere .Determine the acceleration experienced by the fluid particles as they flow along this streamline.

Answer: 
PROBLEM 5 : Water accelerated by a nozzle to 15 m/s strikes the vertical surface of the cart moving horizontally at a constant velocity of 5 m/s in the flow direction. The mass flow rate of water is 25 Kg/s. After the strike the water splatters off in all directions in the plane of the back surface. (a)Determine the force that needs to be applied on the brakes of the cart to prevent it from accelerating. (b) if this force were to be used in generating power rather than wasting on the brakes, determine the maximum amount of power that can be generated. (Answer (a) 250N, (b) 1.25 KW)

PROBLEM 6: The water level in a tank is 20m above the ground. A hose is connected to the bottom of the tank and a nozzle at the end of the hose is pointed straight up. The tank cover is air tight and the air pressure above the water surface is 2 atm gauge .The system is at sea level. Determine the maximum height to which the water stream could rise? (Answer: 40.7m)
