·
PROBLEM 2: In a two dimensional vertical plane many wind- driven water waves can be described by a linearized velocity field of the form
![]()
![]()
Where L is the wavelength, T is the wave period, and from elementary physics the ratio of L/T is the wave phase speed C. A (z) and B (z) are amplitude functions which depend on the depth, z, measured from the still water level or average water surface. They are defined as

The problem is to find the vorticity and strain rate at the water surface (z=0) and at the depth, z=-5m, when the horizontal velocity is a maximum. Assume the wave height H=2m, the wavelength L=50m, and the period T=6s.
SOLUTION:
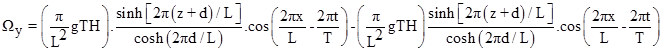
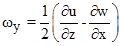
In the xy plane the angular velocity is found from
, while we know the vorticity equals to
, that is-
![]()
From the above formula for the wave velocities
![]()
Or
![]()
After some algebra the final expression for vorticity (or angular velocity) is

= 0
In other words, there is no rotation of fluid parcels in the flow field.
The strain rate
is considerable

If this formula is evaluated for the condition when the horizontal velocity is a maximum, then cos Θ=1 and for z=0
![]()
For z=-5m
![]()
PROBLEM 3: The pump shown in the figure adds 7.5 kilowatt to the water as it pumps water from the lower lake to the upper lake. The elevation difference between the lake surfaces is 9m and the head loss is 4.5m. Determine
(a) the flow rate and
(b) the power loss associated with the flow
SOLUTION:
( a ) The energy equation for the flow is:
..................................................................... (1)
Where points 2 and 1 (corresponding to "out" and "in") are located on the lake surfaces. Thus
and
so that Eq.1 becomes
. ......................................................................... (2)
Where, z2=9 and z1=0. The pump head is obtained from:
