PROBLEM 4: A stream of refreshing beverage of diameter d=0.05m flows steadily from the cooler of diameter D=0.30m as shown in fig. Determine the flow rate, Q from the bottle into the cooler if the depth of beverage in the cooler is to remain constant as h=0.20m?

SOLUTION:
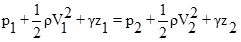
For steady, inviscid, incompressible flow, the Bernoulli theorem applied between points (1) and (2) is
……………………….. (1)
With the assumptions that
and
Eq. 1 becomes
………........................…………………….. (2)
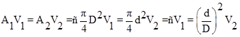
Although the liquid level remains constant, there is an average velocity V1, across section (1) because of the flow from the tank. For steady incompressible flow, conservation of mass requires
Q1 = Q2 , where Q=AV. Thus,
……………………. (3)
Equations (2) and (3) can be combined to give

Thus,
![]()
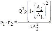
PROBLEM 5: Kerosene (SG=0.85) flows through the venturimeter as shown in fig. With flow rates between 0.009 and 0.08m3/s. Determine the range in pressure difference,
needed to measure these flow rates.
SOLUTION: If the flow is assumed to be steady, inviscid, and incompressible, the relationship between flow rate and pressure is given by

With the density of the flowing fluid
![]()
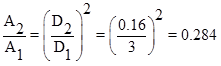
And the area ratio

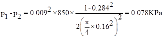
The pressure difference for the smallest flow rate is

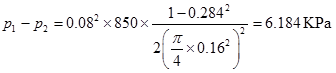
Likewise, the pressure difference for the largest flow rate is

Thus,
![]()