1. Define mass and volume flow rates. How are they related to each other?
2. What is a flow through a control volume study?
3. What is the Eulerian description of fluid motion? How does it differ from the Lagrangian description?
4. Is the Lagrangian description method of fluid flow is more similar to the study of a control volume? Explain.
5. Define static, dynamic, hydrostatic pressure. Under what conditions is their sum constant for a flow stream?
6. State and prove Bernoulli's equation. List out the main assumptions made in the derivations of Bernoulli's equation.
7. Derive Euler's equation for motion in differential form. How will you obtain Bernoulli's equation from Euler's equation?
8. Define continuity equation?
9. Explain the importance of Reynolds transport theorem in fluid mechanics and describe how the linear momentum equation can be obtained from it.
10. Briefly explain the similarities and differences between the material derivative and Reynolds transport theorem.
11. Derive the differential equations of mass and energy conservation?
12. Name the different forces present in the fluid flow. For the Euler's equation of motion which forces are taken into consideration?
13. Derive the differential momentum equation(Navier – Strokes equation) for a Newtonian fluid
SOLVED PROBLEMS
PROBLEM1:
Find the velocity and acceleration functions.
SOLUTION:
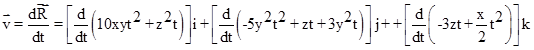
We know,

![]()
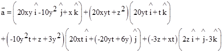
We again know that the acceleration vector is found as:
![]()
Examining the partial derivatives individually:
![]()
![]()
![]()
![]()
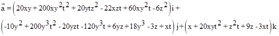
And collecting all of the terms gives:

