Now, rewrite Euler's equation in the following form,
(2.6.19) |
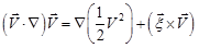
There exists a vector identity to simplify the second term of LHS of Eq. (2.6.19);
(2.6.20) |
So, Eq. (2.6.19) can be again rewritten as,
(2.6.21) |
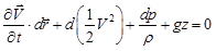
Take the dot product of the entire Eq. (2.6.21) with an arbitrary vector displacement
.
(2.6.22) |
Let us assume that
, which is true under the following conditions;
- • When there is no flow i.e.
(hydrostatic case)
• When the flow is irrotational, i.e.
.
•
is perpendicular to
which is a very rare case.
•
is parallel to
so that one can go along the streamline.
Now, use the condition given by Eq. (2.6.18), when the flow is irrotational and take
so that Eq. (2.6.22) reduces to,
(2.6.23) |
Integrate Eq. (2.6.23) along a streamline between two points ‘1 and 2' for a frictionless compressible flow.
(2.6.24) |
where, ds is the arc length along the streamline. Eq. (2.6.24) is known as the Bernoulli's equation for frictionless unsteady flow along a streamline. Again if the flow is incompressible
, and steady
, the Eq. (2.6.24) reduces to,
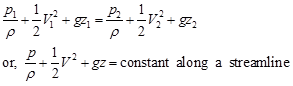
![]() |
|
This equation is same as the one derived from steady flow energy equation and true only for frictionless, incompressible, irrotational and steady flow along a streamline.
