In the vector form, the Eqs (2.6.8) and (2.6.9) are represented as,
![]() |
(2.6.10) |
where,
![]() |
(2.6.11) |
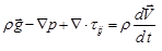
Now, the Eqs (2.6.5, 2.6.6 & 2.6.10) can be combined to obtain the differential equation for linear momentum.
(2.6.12) |
Navier-Stokes Equation
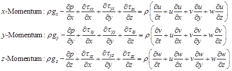
The differential equation for linear momentum is valid for any general motion where the any particular fluid is characterized by its corresponding viscous-stress terms. The vector form of Eq. (2.6.12) can be written in the scalar form as follow:
![]() |
(2.6.13) |
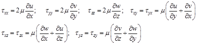
It may be noted that the last three convective terms on the RHS of Eq. (2.6.13) makes it highly non-linear and complicates the general analysis. A simplification is possible for considering an incompressible flow of Newtonian fluid where the viscous stresses are proportional to the element strain rate and coefficient of viscosity (μ). For an incompressible flow, the shear terms may be written as,
![]() |
|



