·
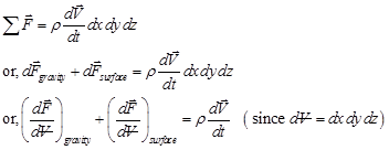
The first part in the RHS of Eq. (2.6.4) is the continuity equation and vanishes while the second part is the total acceleration of the fluid particle. So, the Eq. (2.6.3) reduces to
![]() |
(2.6.5) |
Since the fluid element is very small, the summation of forces can be represented in differential form as given in Eq. (2.6.5). Here, net force on the control volume is of two types; body forces and surface forces . The first one is mainly due to gravity that acts on entire fluid element. This gravity force per unit volume may be represented as,
![]() |
(2.6.6) |
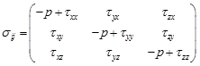
The surface forces mainly acts on the sides of control surface and is the sum of contribution from hydrostatic pressure and viscous stresses. The hydrostatic pressure acts normal to the surface while the viscous stresses
arise due to the velocity gradient. Referring to the notations given in Fig. 2.6.2-a, the sum of these stresses can be represented as a stress tensor
as follows;
![]() |
(2.6.7) |

Fig. 2.6.2: Control volume showing the notation of stresses and surface forces.
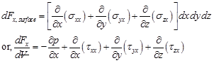
It may be noted that the gradient in stresses produces the net force on the control surface not the stresses. So, Fig. 2.6.2-b, the net surface force per unit volume in x -direction can be calculated as,
![]() |
(2.6.8) |
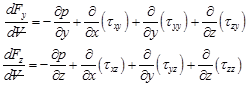
In a similar manner, the net surface forces per unit volume in y and z directions are calculated as,
![]() |
(2.6.9) |




