Linear Momentum Equation (Differential Form)
Recall the one-dimensional control-volume equation for linear momentum;
(2.6.1) |
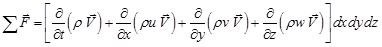
When this equation is applied to the elemental control volume shown in Fig. 2.6.1, the volume integral derivative (second term of RHS of Eq. 2.6.1) reduces to,
![]() |
(2.6.2) |

Fig. 2.6.1: Elemental control volume with inlet and outlet momentum flux.
The momentum flux terms appear in all six faces with three inlets and three outlets. As shown in Fig. 2.6.1, these terms can be summarized in the following table.
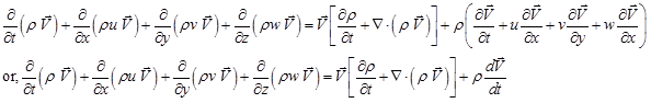
After substituting these terms in RHS of Eq. (2.6.1), and using Eq. (2.6.2), one can get,
(2.6.3) |
Now, let us split and simplify the terms in RHS of Eq. (2.6.3);
![]() |
(2.6.4) |

