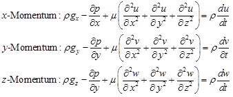
Thus, the differential momentum equation for Newtonian fluid with constant density and viscosity is given by,
![]() |
|
It is a second-order, non-linear partial differential equation and is known as Navier-Stokes equation . In vector form, it may be represented as,
(2.6.16) |
This equation has four unknowns
and must be combined with continuity relation to obtain complete information of the flow field.
Euler's Equation
When the viscous stresses components in the general form of linear momentum differential equation are neglected
, then vector Eq. (2.6.12) reduce to the following form;
(2.6.16) |
The same equation in scalar form is written as,
![]() |
|
This relation is valid for frictionless flow and known as the Euler's equation for inviscid flow.
Bernoulli's Equation
In the previous section, the Bernoulli's equation was derived from the steady flow energy equation by ignoring the frictional losses. In the same line, the linear momentum equation reduces Euler's equation when the viscous stress components are neglected which is true only when the flow is irrotational and frictionless. A flow is said to be irrotational when there is no vorticity
or angular velocity
. Mathematically, it represented as below;
![]() |
|


