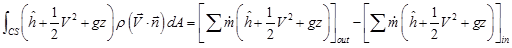
- If the control volume has number of one-dimensional inlets and outlets, then the surface integral reduces to summation of inlet and outlet fluxes i.e.
(2.3.18) |
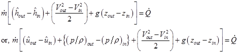
- If the flow is one-dimensional, steady throughout and only one fluid is involved, then the shaft work is zero. Neglecting viscous work, Eq. (2.3.17) reduces to,
![]() |
(2.3.19) |
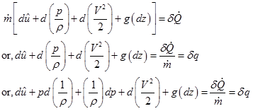
When the same equation is applied to a infinitesimally thin control volume, then Eq. (2.3.19) reduces to,
![]() |
(2.3.20) |
Let us discuss the second law of thermodynamics that introduces the concept of thermodynamic property entropy (S) of a system. For all pure substances, the T-ds relation is very common and holds good for common engineering working fluids such as air and water.
![]() |
(2.3.21) |
Combining Eqs (2.3.20 & 2.3.21), one can obtain,
![]() |
(2.3.22) |



