·
Angular Momentum Equation
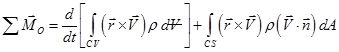
The angular-momentum relation can be obtained for control volume by replacing the variable (B) as the angular momentum vector
. Since, the fluid particles are non-rigid and have variable velocities, one must calculate the angular momentum by integration of the elemental mass (dm). It is in contrast to solids where the angular momentum is obtained through the concept of moment of inertia. At, any fixed point ‘O', the instantaneous angular momentum and its corresponding intensive properties are given by,
![]() |
(2.3.7) |
Here,
is the position vector from the point ‘O' to the elemental mass dm and
is velocity vector of that element. Considering RTT for angular momentum, one can obtain the general relation for a deformable control volume.
![]() |
(2.3.8) |
By, angular momentum theorem, the rate of change of angular momentum must be equal to sum of all the moments of all the applied forces about a point ‘O' for the control volume.
(2.3.9) |
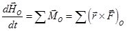
For a non-deformable control volume Eqs (2.3.8 & 2.3.9) can be combined to obtain the following relation.
![]() |
(2.3.10) |
If there are one-dimensional inlets and exits, Eq. (2.3.10) is modified as,
![]() |
(2.3.11) |



