Linear Momentum Equation
The control-volume mass relation (conservation of mass) involves only velocity and density. The vector directions for velocity only show the flow entering or leaving the control volume. However, many specific flow problems involve the calculations forces/moments and energy associated with the flow. At any case, mass conservation is always satisfied and constantly checked.
The linear momentum equation is mainly governed by Newton 's second law of motion for a system; it states that “the time rate of change of the linear momentum of the system is equal to the sum of external forces acting on the system”. Here, the attention is focused to the arbitrary property i.e. linear momentum which is defined by
so that
. Applying RTT to the linear momentum for a deformable control volume,
![]() |
(2.3.1) |
In this equation, the fluid velocity vector
is measured with respect to inertial coordinate system and the vector sum of all the forces
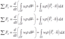
acting on the control volume includes the surface forces acting on all fluids and the body forces acting on the masses within the control volume. Since, Eq. (2.3.1) is a vector relation, the equation has three components and the scalar forms are represented below;
![]() |
(2.3.2) |
Here, u, v and w are the velocity components in the x, y and z directions, respectively. For a fixed control volume,
so that Eq. (2.3.1) reduces to,
![]() |
(2.3.3) |
- Similar to “mass flux”, the second term in Eq. (2.3.3) can be represented as momentum flux given by the following equation,
(2.3.4) |
- If the cross-section is one-dimensional, then
are uniform over the area and the result for Eq. (2.3.4) becomes,
(2.3.5) |
Thus, the Eq. (2.3.3) can be simplified for one-dimensional inlets and outlets as follows;
(2.3.6) |
- In terms of application point of view, the momentum equation can be stated as the vector force on a fixed control volume equals the rate of change of vector momentum within the control volume (first term in RHS of Eq. 2.3.6) plus the vector sum of outlet and momentum fluxes (second term in RHS of Eq. 2.3.6). Generally, the surface forces on a control volume (first term in LHS of Eq. 2.3.6) are due to the pressure and viscous stresses of the surrounding fluid. The pressure forces act normal to the surface and inward while the viscous shear stresses are tangential to the surface.


